何興華:人居實踐視野中的小城鎮規劃新思維
2018年11月25日下午,2018規劃年會專題會議十二“共享時代中的小城鎮創新發展”在杭州國際博覽中心三層大宴會廳D召開。學會副理事長,住房和城鄉建設部計劃財務與外事司原司長何興華作特邀主題報告。何興華副理事長將人居科學與小城鎮規劃相結合,針對小城鎮規劃的問題、人居實踐的視野、小城鎮規劃的新思維三個方面闡述了自己近年來的一些思考。

一、小城鎮規劃的問題
1、小城鎮爭議的原因
關于小城鎮,存在很多不同的看法,爭議了三十多年。何興華副理事長認為是因為對小城鎮的理解不一樣導致的。
作為居民點,小城鎮屬于居民點體系的中間環節,強調的是居者實踐。居民點是客觀存在的,所謂小就是規模不大,所謂城鎮就是性質不太明朗,處于城鄉過渡的中間狀態(費孝通語)。
作為管理單元,小城鎮屬于與“鄉”平級的行政建制,強調的是社會治理。由于管理單元可以不斷調整,例如人民公社、改鄉為鎮、撤鄉并鎮、移民建鎮等,就會有很多不同看法。
作為政策對象,小城鎮屬于政府開展工作的手段,強調的是政府作為。政策對象可以靈活使用,例如搞綜合改革試點鎮、設重點鎮,搞特色小鎮/特色小城鎮,封歷史文化名鎮等。這些政策對象,很可能在行政單元中重疊,也可能另劃了一塊。這時候,我們把小城鎮稱之為大戰略,并不是說所有居民點意義的小城鎮或者行政建制鎮都要大發展。
因此,關于發展小城鎮的爭議,主要是由于對城鎮化重點的不同看法引起的。
2、小城鎮研究的重點
小城鎮與城市或鄉村一樣,屬于一個研究的領域,不可能歸于某一專業或學科,用一種研究方法。重點要研究小城鎮在居民點體系變遷中的一般規律,特別是能吸引人們在小城鎮這樣的居民點上居住的真正原因。只有了解一般規律,才能為管理單元的調整提供更有價值的參考意見,為政策對象的設立提供相對可靠的決策咨詢,真正發揮學術的作用。
城鄉規劃學科如何在眾多研究小城鎮的學科中發揮應有的作用,需要認清我們學科的本質特征,不是紙上談兵,而是要能指導建設實踐,改造物質世界。城鄉規劃學科需要對人類社會各種活動所產生的空間需要進行整合,保障大眾的基本需要,協調精英的增補需要。當然,城鄉規劃學科對于小城鎮的研究,并不是小城鎮研究的全部內容。
3、小城鎮規劃相關概念
這里所說的小城鎮規劃,是指政府組織開展的一項工作,而不是一個學科或專業。小城鎮規劃,狹義講就是鎮規劃,可以分為鎮區和鎮域兩個層次。由于鎮內包括集鎮、村莊居民點,以及各類政策對象,也可以作廣義的理解。
作為居民點,包括建制鎮鎮區、集鎮、自然村的規劃;作為管理單元,包括鎮域、鄉域、村域規劃;作為政策對象,包括各類試驗區、特色小鎮、田園綜合體規劃等。由于鎮包括縣政府駐地鎮,小城鎮規劃擴展為縣域規劃。又由于縣級市不少都由原先的縣改為市,縣級市的市域規劃,乃至大中城市行政轄區范圍內,也有不少小城鎮規劃的內容。
由于鎮與村關系密切,人們經常將村鎮規劃作為組合詞使用。由于“改鄉為鎮”,而且鄉鎮是同一個行政級別,所以也有鄉鎮規劃的提法。當將縣域及以下的區域作為區別于城市建制時,又有了鄉村規劃之說。因為鄉村居民點規模較小,規劃經常與設計一同開展,于是又有了村鎮規劃設計一詞。
4、規劃下鄉的探索
我國由政府組織的規劃下鄉已有六十年歷程了,大體分為三個階段,各有不同的原因和重點。
一是1958年至1977年的二十年,國家的主要目標是謀獨立,建立國家工業體系是重中之重。因此將農民組織起來計劃生產糧食,統購統銷,用“剪刀差”獲得啟動資金。規劃下鄉主要是為政治需要服務的。
二是1978年至1997年,階段任務是謀富裕,一部分人先富起來。農村改革率先突破并取得成功,鄉村工業化與鄉村城鎮化勢不可擋,大量的建設需要安排,生態環境受到威脅。規劃下鄉主要是為鄉村建設服務的。
三是1998年至2017年,以促進城鎮化作為起點。執政黨領導我們謀強盛,城鄉統籌發展成為關鍵。從小城鎮成為大戰略,到社會主義新農村,再到美麗鄉村建設,從特色小鎮到田園綜合體,一直到鄉村振興戰略的提出。規劃下鄉是城鄉融合發展的必然要求。
今天,在全面實施鄉村振興戰略的新時期,小城鎮規劃需要有更高的站位、更寬的視野、更準的行動。
二、人居實踐視野
1、關注人與物的互動

上圖為何興華副理事長所改繪,豎軸是人的干預程度,橫軸是空間尺度,中間的內容是科學揭示的世界,是主觀與客觀一體的。要想在人類知識體系中為人居的內容安插一個位置,需要看清人居實踐的創造性本質。
吳良鏞先生強調,人居環境是自然環境、人工環境和社會環境構成的整體。理解這個問題的難點,并不是空間的尺度和類型,而是“人”與“物”的關系。
一是定位于人,即居者,關注人的需要及其滿足方式;二是定位于物,即環境,關注物質環境及其營造方式;三是定位于居,即實踐,關注人類的居住活動及其文化創造過程。單純研究人的需要,是人文學科或者社會科學的長處。專門研究物質環境,是工程技術或者應用科學的長處。人居科學的任務是研究人與物互動的過程,也就是人居實踐活動。
2、關注居者的實際體驗

東方人把自然作為基礎稱之為“大自然”,其重要性是無法替代的。生命現象、人類社會現象都是自然條件下產生的。人是生命的一部分,居住是人為了滿足自身的需求創造出來的。人居是人類活動空間需要的體現,首先是客觀的。同時,作為僅次于認知的科學類型,人居又具有極大的創造性,同樣需要有多種滿足的可能性。因此,必須將居住作為研究對象,關注居者的實際體驗,才能將人與物關系的研究落到實處。
建筑學專業要在建筑類型研究、建筑設計研究的基礎上,更多關注用戶體驗和資源利用。風景園林專業要在園林和風景區研究、景觀規劃設計研究的基礎上,更多關注觀賞者體驗和資源利用。城鄉規劃專業要努力克服城市研究和鄉村研究、規劃研究與設計研究兩分的狀態,更多關注政府、市場主體、城鄉居民,以及規劃師的規劃行為對地表空間環境變遷的實際影響。
3、關注人居實踐的全過程

此圖來自1992年的聯合國人居獎獲得者英國建筑師John F.C. Tuner的英文原圖,揭示了為什么人居實踐令人那么困惑,因為可能性太多。所以當把居作為動詞的時候,就和人居環境設計產生了很大的不一樣。農村人居環境建設也就不單純是修橋修路改廁所了。
人居實踐是人類為了滿足自身生存發展的需要,利用各種資源,對人居環境進行選擇、營建、使用、維護、改造等活動的全過程。人居實踐是人類改造自然、改造社會、改造自身活動的重要內容,既是人居實踐的對象,也是人居實踐的主要成果。建筑學、風景園林學、城鄉規劃學只是人居實踐活動的一部分,沒有包括人居實踐活動的全過程。
4、關注人居實踐的層次

物質空間形態的構成,取決于各類資源要素利用的方式。建成后的物質空間又成為資源和要素的重要方面。資源要素利用的方式,反映了決策體制機制和制度的情況。利用中的資源要素又成為影響決策的重要因素。體制機制和制度情況,受到社會歷史文化的影響。形成后的制度又成為文化的重要組成部分。人居科學關心的是具體時空間范圍內人與居的互動。治根的事情,也是最難的事情,是社會文化的改進。資源利用的問題,最后集中反應的都是整體的文化,所以文脈是非常重要的概念。
5、關注人居實踐觀的歷史形態

此圖表現的是人居實踐觀的變遷。最初,人們普遍關心物質營造與環境設計,強調把東西做出來,看得見、摸得著。當地表環境的人工化程度增加,為什么人、用什么標準的問題隨之產生,于是關注財富分配與資源利用。財富分配和資源利用涉及面寬、利益關系復雜、矛盾尖銳,問題提升到社會治理與公眾參與。人工環境保存久遠、文脈延續,處理保留與新建的關系是永恒的主題,歷史保護與文化創造逐步受到重視。環境問題特別是氣候變化增強了人類對共同命運的認識,綠色發展成為共識,全球互動與生態修復盛行。信息技術的快速發展促進了網絡社會的形成,萬物互聯的趨勢不可逆轉,智慧集成與系統優化成為發展方向。
何興華副理事長指出,人居實踐觀是不斷累積的,不能把它們看作一種“范式轉移”。
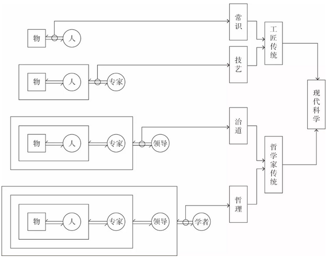
6、關注人居知識生產的科學化

人居科學與其他專業有個重要的區別,它不是某個專業在人居這個領域的延伸,而是人居科學中對于某個專業知識的應用。
常識是科學的來源,不能等同于科學。通過實態調查向現狀學習,研究無建筑師的建筑、無規劃師的規劃,是一種生產知識的方式。技藝是科學的來源,也是科學的應用,但不全是科學。職業建筑師、規劃師做規劃設計工作,如果不做科學研究,并不生產科學知識。治道是科學的來源,更是常識、技藝、科學知識的綜合應用。公共部門運作的方式與對公共政策和治理的研究不能劃等號。哲理是科學的來源,也是人類對于世界和人生原理的認識,是各種認知能力的整體反映。哲學與科學不能劃等號,科學規劃,說是很容易,做是很難的。
三、小城鎮規劃新思維
1、反思原有的規劃觀
雖然重視以人為本,但是往往將人與物對立起來,在強調主觀能動性和客觀規律性之間徘徊。沒有真正認識到人與物的互動過程才是規劃的本質。
雖然重視溝通共享,但是沒有將實體對象研究和主體行為研究有機結合。更重要的是,對誰的居住、誰的場所問題采取了回避態度。
雖然重視規劃管理,但是沒有認識清楚,即使規劃專業自身閉環,仍舊只是人居實踐的一個環節,不明白規劃不能獨自解決復雜的城鄉發展矛盾。
雖然重視資源利用,但是對于體制機制和制度建設重視不夠,沒有真正認識到文化的深刻影響和長遠作用。
雖然重視生態智慧,但是沒有充分認識到人的極端重要性和自然環境的基礎性作用,不理解人居實踐是一個“累加”過程,不是“替代”過程。
雖然重視科學規劃,但是對什么是科學、已往發生的或他處發生的規律是否就是科學,缺乏深入思考,人為拔高了信息技術的科學地位。
2、新時代新認識
城鄉規劃政府職能正在進行調整和重組,小城鎮規劃不能獨善其身。但是,從居民點變遷角度看小城鎮,并不是由哪個部門管理的問題,而是小城鎮規劃本來應該怎么做的問題。
城市問題與鄉村問題互為因果,城市發展與鄉村振興是同一個事情的兩個方面,其長久的動力源自城鎮化過程中城鄉關系的改善。小城鎮,正是在城鄉融合中發揮作用。小城鎮規劃不能畫地為牢,需要擺脫部門主義和學科偏見,從更寬泛的人居實踐視野,用人居科學理念和復雜適應系統理論作指導。
何興華副理事長認為需要強化三類思維、落實三類思維、建立三類思維。
3、強化主體、系統、特色思維
強化主體思維。以人為本需要具體化。這里的“人”,是與小城鎮相關的全體居者,這是人民主體地位的體現。要重點考慮小城鎮發展過程中土地權益的保護、土地收益的分配使用。對于農民而言,核心是宅基地使用權、資格權、所有權政策的落實。要尊重各地的民風民俗,從樸素的人情、簡單的日常生活中挖掘鄉土文化內涵,通過具體的規劃措施展示出來。
需要考慮規劃范圍內居者全生命周期的、全方位的整體利益安排,考慮規劃對其帶來的影響。不是到城市里去或者回到鄉村去的問題,改變生活方式、提高生活質量才是關鍵。
強化系統思維。小城鎮作為鄉村之首,始終不忘鄉村振興戰略提出的產業興旺、生態宜居、鄉風文明、治理有效、生活富裕的總要求,要通過產業、人才、文化、生態、組織等方面綜合措施,確保當地群眾安居樂業。小城鎮作為城市之尾,是城市功能延伸服務的具體場所,要更好地統籌人才、資金、土地、社保、文化等政策,讓各個方面形成合力。
放到城鄉融合的歷史長河中認識規劃對象,對環境設計、資源利用、社會治理、文化保護、生態修復等內容進行智慧集成和系統優化,服務于效率和平等,維護鄉村的穩定和可持續發展。
強化特色思維。小城鎮規模不大,產業更要合理分工,體現特色,避免重復產生的惡性競爭。重新認識小農經濟,將小而特、小而精、小而優、小而美的產品,通過網絡平臺整合到更大的市場。調整優化生產力布局,創建特色農產品優勢區,建設現代農業產業園、農業科技園。結合當地實際情況,規劃實施休閑農業和鄉村旅游精品工程,建設一批設施完備、功能多樣的休閑觀光園區、森林人家、康養基地、鄉村民宿、特色小鎮。
成功的規劃就是要找到特色,即生存的依靠與發展的底氣。要放在具體區位和空間條件下來認識小城鎮,不能照搬發達地區的經驗,更不能生搬硬套發達國家的經驗。
4、落實底線、增值、跟進思維
落實底線思維。保護自然資源,尊重自然、順應自然。適應氣候地理地質和條件,統籌山水林田湖草系統治理。加強農村突出環境問題的綜合治理,建立市場化多元化生態補償機制。嚴守耕地紅線,全面落實永久基本農田特殊保護制度,加快劃定和建設糧食生產功能區、重要農產品生產保護區。保護歷史文化,劃定文物古跡、傳統村落、民族村寨、傳統建筑、農業遺跡、灌溉工程遺產等保護的范圍。
不是樣樣內容都安排好,而是明確哪些內容不能動。點線面結合,劃出生態、生產、生活空間。將經過批準的規劃確定的底線,通過占地規模、建設總量、環境指標、整體風貌等要求和具體項目落到實處。
落實增值思維。高度重視現狀調查和分析,要對農田、山林、水面,房屋、道路、農業設施等進行詳細測繪,對實物的質量、權屬,及使用者的收入情況、改擴建意愿,進行綜合分析。確定重大基礎設施布局安排,針對現狀條件,明確具體項目建設的時序。根據上位規劃要求,決定分散居民點的去留,明確擬長久保留村莊的功能分工和擬合并村莊的處理意見,切實提升宜居水平。
對規劃布局將要影響的擬建設用地的土地增值情況進行認真分析,提出控制措施。同時要推動鄉村自然資本加快增值,實現百姓富、生態美的統一。
落實跟進思維。統一用地分類方法、圖紙空間范圍,規范內容名稱、規劃期限,建立協調的規劃體系和靈活的運作機制。通過新技術手段,建構信息平臺,將規劃編制實施管理的各類信息整合到同一個空間構架中。制定評價體系,不斷反饋信息,將經驗決策與數據輔助決策結合好。
動態跟蹤、全過程監督居民點變遷情況,經常性地對規劃實施帶來的影響進行檢討,并按照一定程序修改完善,更好地實現總體規劃確定的整體目標。
5、建立急所、磁鐵、促成思維
建立急所思維。優先安排防災減災、扶貧攻堅、農村危改、社會治安方面的內容。尋找發展新動能,挖掘優勢資源,擴大就業機會,提高整體收入水平。有一個大體上合理的布局,把急需要上馬的項目安排好,指導近期建設,避免二次改造。嚴格控制建設用地范圍,盡量不占耕地。有利于開展土地整理,改革土地制度。
好比下圍棋,雖然始終不能忘記大場,但必須處理好急所,否則全功盡棄。必須切實提高小城鎮的應變抗壓能力,建設韌性城鄉。
建立磁鐵思維。要重視公共文化建設,健全服務體系。發揮縣級機構的輻射作用,推進基層綜合性文化服務中心的建設,實現鄉村兩級公共文化服務全覆蓋,提升服務效能。要傳承、發展、提升優秀傳統文化,切實保護文化遺產,推動文化遺產合理適度利用,營造良好的社會文化氛圍。
要改變容器思維,切實提供有利于保障基本需要,平衡增補需要的各項公共政策,在空間安排上為宜居、宜業、宜學、宜醫等創造條件,增強小城鎮的吸引力。
建立促成思維。要發揮村民自治組織、投資企業等各方主體的作用,組織好公眾參與。要充分與各個利益相關方協商,提出共同遵守的規則。在向本地居民宣傳新知識新技能的同時,了解本地居民長期積累的經驗知識和實用技能,促進本土智力與外腦的交流學習,處理好外來人口與原有居民的關系。在土地政策、住宅提供、社會保障、基礎服務等方面綜合考慮。
把事情做成,不能停留在協調溝通階段,不能光有共享成果的理想方案,需要在復雜的矛盾的利益關系中找出維護公共利益的具體規劃措施。
四、結語
最后,何興華副理事長強調,要充分認識規劃師下鄉面臨的挑戰。例如,對三農問題理解不深,普遍存在“精英意識”,不大善于與基層政府和農民的自治組織打交道;直接干預物質環境建設,對農民的財富積累、利益關系等問題重視不夠;強調單純土地觀點,還沒有形成地表空間綜合資源的理念;規劃實施缺乏手段,對建設資金籌措、土地權屬糾紛等矛盾處理沒有經驗。
搞小城鎮規劃,不是假期下鄉尋根懷舊,不是城市生活壓力的偶然釋放,不是藝術創作的靈感源泉,更不是小資情調的復古避世。生活在城市,還是在鄉村,應該是生活方式的選擇,而不應是社會地位的反映。研究城市,還是鄉村,應該是研究領域的選擇,而不應是學術地位的反映。
編輯:楊賡
相關閱讀
城市規劃理念的中外碰撞
主講嘉賓【詳細】
共建世界級城市群 推動大灣區一體化發展
今年3月剛當選第十三屆全國政協常委的林建岳,對粵港澳大灣區建設有著濃厚的感情。【詳細】
城市規劃師:鄉村的美好取決于用什么方式去發現
一間五平米見方的辦公室里,除了辦公桌、電腦和裝滿建筑設計書籍的書架,最引人注目的是大大小小的綠色植物。11月的成都陰冷潮濕,這些綠植讓城市規劃師王洋洋的辦公室有了溫度和活力,正如他的田園夢在慢慢生長。【詳細】
未來的規劃師怎么借力城市大腦
從“三通一平”(通水、通電、通路、土地平整)到圍繞路、水、電、暖、氣等的“十通一平”,過去這些年,城市基礎設施總架構經歷了不少物質型跨越,而現在,要迎來第一個非物質基礎設施,這就是城市大腦。【詳細】
